REAKTİF GÜÇ KOMPANZASYONU
Gücün değişik değerler aldığı durumda iş yapan faydalı güce alternatif akımda ne ad verilir?
Gücün değişik değerler aldığı durumda iş yapan faydalı güce alternatif akımda aktif güç denir. Kısaca aktif güç iş yapan güçtür.
Aktif güç hangi formül ile hesaplanır?

Manyetik alanla çalışan asenkron motor, transformatör gibi elektrik makinelerinin çektiği güce ne ad verilir?
Manyetik alanla çalışan asenkron motor, transformatör gibi elektrik makinelerinin çektiği güce reaktif güç denir.
Reaktif güç nasıl hesaplanır?

Görünür güç ne demektir?
GÖRÜNÜR GÜÇ (S) Bir devrede direnç aktif güç, bobin ve kondansatör reaktif güç çeker. Eğer bir devrede hem direnç hem de reaktanslar varsa bu devrede aktif ve reaktif güç birlikte çekilir. Bu tür devrelerde güç gerilim ile akımın çarpımına eşittir. Bu güce de görünür güç denir. Kısaca şebekeden çekilen güce görünür güç denir.
Görünür güç nasıl hesaplanır?


Yukarıda verilen grafik ne ifade etmektedir?

şeklinde verildiğinde,

yukarıda verilen grafik ne ifade etmektedir?
Endüktif devre akım gerilim karakteristiği
Güç faktörü nedir?

Güç faktörü nasıl hesaplanır?

Reaktif güç tüketicileri nelerdir?
Bazı elektrik makineleri çalışmak için uyarma akımına ihtiyaç duyarlar. Bu uyarma akımını çekerken sistemden reaktif güç çekilmiş olur. Reaktif güç tüketicileri şunlardır:
• Transformatörler
• Motorlar (asenkron ve senkron)
• Generatörler
• Bobinler
• Ark ocakları
• Havai hatlar
• Flüoresan lambaların balastları
• Yüksek basınçlı sodyum buharlı ve civa buharlı lamba balastları
• Endüstride kullanılan kaynak makineleri
• Neonlu lamba balastları
Tüketicilerin reaktif güç ihtiyacını karşılamak için kullandıkları yollar nelerdir?
Tüketicilerin reaktif güç ihtiyacını karşılamak için iki çeşit yol vardır. Bunlar dinamik faz kaydırıcılar (senkron makineler) ve statik faz kaydırıcılar (kondansatörler).
1. Dinamik Faz Kaydırıcılar(Senkron makineler): Reaktif güç üretiminde en çok kullanılan araçların başında senkron makineler kullanılır. Enerji santrallerinden gelen enerji iletim hatlarının sonunda şebekeye bir senkron makine bağlanır ve bölgenin ihtiyacı olan reaktif güç bu makine tarafından sağlanır. Şebekeye bağlanan bu senkron makine az bir aktif güç tüketimiyle şebekenin reaktif güç ihtiyacını karşılayarak bir reaktif güç üreticisi gibi görev alır. Senkron makinelerin kayıpları statik faz kaydırıcılarına(kondansatörlere) göre kayıpları daha fazla olduğu için bakıma gereksinim duyarlar. Bu yüzden dinamik faz kaydırıcılar özel durumlarda ve ekonomik şartların gerçekleştirildiği yerlerde kullanılır.
Senkron kondansatör nedir?
Senkron Motorlar ile Güç Kompanzasyonu Güç faktörü düzeltilerek aktif gücü artırmak amacıyla senkron motorlar kullanılmaktadır. Bu amaçla kullanılan senkron motorlara senkron kondansatör denir.
Kondansatör kapasite birimi nedir?
Kapasitenin birimi Farad’dır
Elektrik şartnamesi gereğince yükseltilmesi istenen güç faktörünün kaç olması gerekir?
Elektrik şartnamesi gereğince yükseltilmesi istenen güç faktörünün 0.95 ile 1 arasında olması gerekmektedir. Bu belirlenen sınırların aşılması durumunda cezai işlem uygulanır.
Güç faktörünü istenilen değerine ulaştırmak için hangi yollar uygulanır?

Bir güç kondansatörü nasıl üretilir?
Aşağıda bir güç kondansatörünün nasıl yapıldığı adımlar halinde verilmiştir.
1. Karma yalıtkan sarım yapılır.
2. Elde edilen yalıtkanlar arzu edilen güce göre paketlenir.
3. Paketlenen yalıtkanların sarımları düşük bir gerilim uygulanarak kısa devre kontrolünden geçirilir.
4. Kimyasal madde kazanlarında vakum altında kurutulup korunurlar.
5. Korunmuş sarım paketleri tek tek 10’ar saniye süre ile 1720 V(DC) gerilimle kontrol edilirler.
6. Paketler lehimlenir.
7. Paketlerin kapasitesi ölçülür. Bu işlem yapılırken şu iki noktaya dikkat edilmelidir.
• İki fazın arasındaki kapasite farkı en fazla %8 olmalıdır.
• Faz kapasitelerinin toplamı 0-%10 arasında olmalıdır.
8. Kondansatörün batarya kaybı ölçülür.
9. Paket kutusuna konur ve kapağı kapatılır.
10. Kutu koruma sıvısı ile doldurulup kapağı kaynatılır. 11. Boya, etiketleme gibi işlemler yapılır
Güç faktörünün düzeltilmesinin faydaları nelerdir?

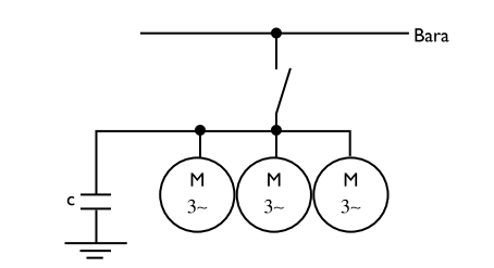
Yukarıda verilen şekil neyi göstermektedir?
Grup Kompanzasyon Birden çok tüketicinin bulunduğu bir tesiste her bir tüketici için ayrı kondansatörle kompanzasyon yapılacağı yerde bu tüketicilerin ortak bir kompanzasyon tesisi tarafından beslenmesi daha ekonomik ve pratiktir. Bu durumda kondansatörler gerektiği miktarda ve anahtar üzerinden kademeli olarak devreye alınır.
Alçak gerilim güç kondansatörlerinden (400-525-600V) ve orta gerilim güç kondansatörlerinden (3.3- 34.5kV) beklenen özellikler nelerdir?
Alçak gerilim güç kondansatörlerinden (400-525-600V) ve orta gerilim güç kondansatörlerinden (3.3- 34.5kV) beklenen özellikler şunlardır.
• Ömrünün uzun olması
• Elektrik şebekesindeki anormal akım ve gerilimden etkilenmemesi
• Geçici rejimlerde dengelenme akımlarından etkilenmemesi
• Aktif kayıpların en az olması ve bunları absorbe etmesi
• Performansının sıcaklıkla değişmemesi
• Can ve mal tehlikesi yaşatmaması
• Bakımının kolay olması ve asgari ücretle tamir edilmesi